(Provisional Translation)
March 6, 2015
Securities and Exchange Surveillance Commission
The Securities and Exchange Surveillance Commission (“SESC”), today, made a recommendation to the Prime Minister and the Commissioner of the Financial Services Agency that an administrative monetary penalty payment order be issued in regard to market manipulation by Select Vantage Inc. (“Select Vantage”) pursuant to Article 20(1) of the Act for Establishment of the Financial Services Agency. This recommendation is based on the findings of the investigation into the market manipulation, whereby the following violations of laws and ordinances were identified.
Select Vantage, registered in Anguilla, a British overseas territory, is a proprietary trading firm, which generates earnings from trading with its own funds. The SESC found that Select Vantage, through traders who engage in proprietary trading, in relation to its business, as described in the Appendix 1, regarding a total of 45 symbols, which are listed on financial instruments exchange markets, including Japan Drilling Co., Ltd., on a total of 28 trading days between April 9 and May 23, 2014, during the time between the closing of the morning session and the opening of the afternoon session of the financial instruments exchange, with the purpose of inducing orders from other market participants who use the proprietary trading system (“PTS”), conducted transactions including the following: boosting quotations before the opening of the afternoon session by placing on the financial instruments exchange market a large amount of market purchase orders or limit purchase orders at prices higher than the previous quotation without intention to execute the orders; placing sell limit orders on the PTS; and matching a part of the sell orders with its own purchase orders to raise the share price at which favorable price it executed the rest of the sell orders on the PTS. Thus, Select Vantage, on its own account, with respect to the symbols mentioned above, purchased 252,600 shares and sold 276,800 shares while placing purchase orders for 1,538,200 shares and sell orders for 171,200 shares. These constituted multiple series of sale and purchase of securities and entrustments that would mislead others into believing that sale and purchase of the shares were thriving and would cause fluctuations in markets of the shares. The actions mentioned above conducted by Select Vantage were recognized as “a series of Sale and Purchase of Securities, etc.” and “Entrustment, etc.” conducted “in violation of Article 159(2)(i)” as stipulated under Article 174-2(1) of the Financial Instruments and Exchange Act (“FIEA”).
Pursuant to the FIEA, the amount of the administrative monetary penalty applicable to the above violations is 22,132,935 yen.
Details of the calculation are presented in the Attachment.
We appreciate assistance of the Financial Conduct Authority of the United Kingdom and the Japan Exchange Regulation (JPX-R) in this matter.
·Method of Calculation of the Amount of the Administrative Monetary Penalty
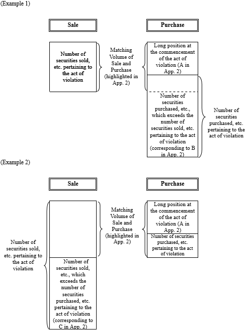
1. Pursuant to Article 174-2(1) of the FIEA, the amount of the administrative monetary penalty shall be calculated as the sum of (1), (2) and (3) below:
(1) Amount pertaining to a Matching Volume of Sale and Purchase (Note 1):
(Value pertaining to sale, etc. of securities on its own account) – (Value pertaining to purchase, etc. of securities on its own account)
(2)Where the number of securities sold, etc. pertaining to acts of violation exceeds the number of securities purchased, etc. pertaining to acts of violation:
(Value pertaining to sale, etc. of securities with respect to the excess transaction volume) – (Lowest price among the lowest prices as designated under Articles 67-19 and 130 of the FIEA of the securities on each day during a one-month period following the termination of acts of violation × the excess transaction volume)
and
(3) Where the number of securities purchased, etc. pertaining to acts of violation exceeds the number of securities sold, etc. pertaining to acts of violation:
(Highest price among the highest prices as designated under Articles 67-19 and 130 of the FIEA of the securities on each day during a one-month period following the termination of acts of violation × the excess transaction volume) – (Value pertaining to purchase, etc. of securities with respect to the excess transaction volume)
Note 1: Matching Volume of Sale and Purchase: The smaller of the number of securities sold, etc. and the number of securities purchased, etc. pertaining to acts of violation.
2. Pursuant to Article 174-2(8) of the FIEA and Article 33-13(i) of the Order for Enforcement of the FIEA, if a violator owns the securities pertaining to the act of violation at the time of the commencement of the violation, the violator shall be deemed to have purchased the securities on its own account at the price prevailing at the commencement of the violation in calculating the amounts in 1 above.
3. In addition, pursuant to Article 185-7(15) of the FIEA, if a violator had been served a decision under Article 185-7(1) of the FIEA within 5 years prior to the commencement of the violation, the amount calculated pursuant to 1 and 2 above (“Original Amount”) shall be replaced with an amount equal to the Original Amount multiplied by 1.5.
In the present case, the subject of the administrative monetary penalty payment order commenced the violation on April 9, 2014, within 5 years prior to which date, the subject had been served a decision under Article 185-7(1) of the FIEA. Therefore, given the facts described in “2. Summary of the Findings Regarding Violations of the Laws and Ordinances” and listed in the Appendix 2, the amount of the administrative monetary penalty shall be 22,132,935 yen, which is calculated pursuant to 1 to 3 above.
[Reference: Examples of how to calculate the administrative monetary penalty]
